
노화를 늦추는 일에 전 세계의 관심과 자본이 쏠리고 있다. 구글은 2013년에 15억 달러를 투자하며 노화 생물학을 연구하는 칼리코(Calico)를 설립하였고, 인간의 수명 연장과 건강 증진을 장기 투자로 실현하겠다고 선언했다. 2022년에는 세포 노화 역행 연구를 위한 알토스 랩스(Altos Labs)가 30억 달러 규모의 민간 자본을 바탕으로 출범하였다. 아마존 창업자인 제프 베이조스아마존 창업자와 유명 벤처 투자자인 유리 밀너가 초기 투자자로 알려지며 대중의 관심이 커졌다. 노화 연구에 거대한 자금과 인재가 모이는 이유는, 평균 수명이 길어진 지금 중요한 것은 ‘얼마나 오래 사느냐’가 아니라 ‘얼마나 건강하게 사느냐’이기 때문이다. 노화의 원리가 밝혀지고 노화를 역행하는 방법을 찾아 치료제로 만들 수 있다면, 노화는 어쩔 수 없이 받아들여야 할 운명이 아닌 극복해야 할 대상이 된다.
다행히 노화를 늦추는 길은 치료제만이 아니다. 하루 세 끼의 식사, 즉 평상시 식이요법으로 노화의 속도를 바꿀 수 있다는 근거가 빠르게 쌓이고 있다. 채소, 통곡물, 견과류, 올리브유 같은 불포화지방산 위주의 식단은 염증을 줄이고 혈관을 보호하는 것으로 알려져 왔다. 반대로 설탕 음료, 가공육, 정제 곡물 중심의 식단은 전신 염증을 키워 당뇨와 심혈관질환 위험을 높인다. 최근 유행하였던 ‘가속노화 식단’이라는 표현도 같은 맥락이다. 음식을 통해 생체 나이가 실제 나이보다 빠르게 진행되는 것을 막아보자는 것이다.

식탁에서 시작하는 노화 완급 조절
그렇다면 식이요법이 특정 노화 질병의 발생을 억제하는 것을 넘어서, 다수의 노화 질병이 축적되는 속도 자체를 바꾸는 것도 가능할까? 스웨덴 카롤린스카 연구소와 스톡홀름 대학교 연구진은 최근 이러한 질문에 답을 내놓았다. 지난 8월 네이처 에이징에 발표된 연구에서는 2,500여 명 이상의 노인을 15년간 추적 관찰하며, 식단이 가속 멀티모비디티(accelerated multimorbidity, 시간이 지날수록 만성질환이 추가로 생겨나는 속도)에 미치는 영향을 분석하였다. 식단 종류로 인해 특정 질병에 걸릴 확률만 따지던 것을 넘어서, 노년기에 여러 질환이 어떤 속도로 축적되는지를 확인한 점이 기존 연구와의 차별점이라고 할 수 있다.
가속 멀티모비디티 개념은 자동차 계기판에서 울리는 경고등을 떠올리면 쉽다. 자동차를 오래 사용할수록 엔진, 타이어, 배터리 등에서 경고등이 하나둘 켜지듯, 사람도 나이가 들수록 심혈관, 뇌신경, 근골격, 대사활동 등에서 질환이 추가로 발생한다. 같은 기간이라도 경고등이 빨리 여러 개 켜지는 사람(가속)과, 천천히 드물게 켜지는 사람(감속)이 있다. 연구팀은 의무 기록과 진단 정보를 이용해 질환이 추가로 몇 개 발생하는지의 속도를 통계 모델로 측정하였다.

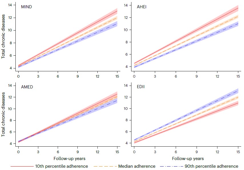
15년간 건강한 식단이 질환 축적 속도를 늦춰
연구팀은 98개 항목의 식품 섭취 빈도 설문지(food frequency questionnaire, FFQ)를 통해 참가자들의 식습관을 네 가지 지표로 점수화했다. 뇌 건강에 초점을 둔 MIND(mediterranean–DASH for neurodegenerative delay), 만성질환 전반의 위험을 낮추는 AHEI(alternate healthy eating index), 서구식에 맞춘 대안적 지중해식 AMED(alternate mediterranean diet)가 '건강한 식단'으로 분류됐다. 반대로 EDII(empirical dietary inflammatory index)는 설탕 음료와 가공육, 정제 곡물의 섭취가 잦고 채소, 차, 커피가 적은 '염증성 식단'으로 분류하였다. 또한 설문에 대한 점수가 높을수록 해당 식단을 잘 지키는 것으로 해석하였다.
분석 결과, MIND, AHEI, AMED처럼 채소 기반에 생선, 통곡물, 올리브유를 중심으로 한 식단은 만성질환이 쌓이는 속도를 유의미하게 늦췄다. 특히 치매와 같은 인지, 정신 영역과 심혈관계의 발병 속도가 현저하게 느렸다. 반대로 EDII처럼 염증성 식단은 질환 축적을 가속화했다. 흥미로운 점은 관절, 골다공증과 같은 근골격계 질환에서는 뚜렷한 차이가 관찰되지 않았는데, 근육과 뼈는 식단 외에 운동이나 호르몬, 낙상과 같은 요인이 더 큰 영향을 주기 때문이라고 연구자들은 분석했다. 연령대나 성별에 따라 식단에 따른 효과가 다소 달랐지만, 결론에는 차이가 없었다.

하루 한 끼에서 시작하는 변화
연구를 진행한 칼데론-라라냐가 박사는 이번 연구 결과가 염증과 관련이 있을 것으로 추측했다. 그는 "본 연구에서 평가된 모든 식이 패턴은 기존에 알려진 혈중 염증 지표와 관련이 있다. 염증 지표는 심혈관질환 및 신경정신질환과 연관성이 높아서, 음식의 품질이 낮을수록 매년 복합 질환의 누적이 증가되는 것"이라 밝혔다. EDII와 같은 염증성 식단의 효과가 15년 동안 축적되면서 질환 개수의 차이로 나타난다는 것이 이번 연구의 해석이다. 건강한 식단인 MIND, AHEI, AMED의 특징은 접시의 절반을 채소와 과일로 채우고 주식은 통곡물로, 단백질은 붉은 고기 대신 생선, 콩으로, 기름은 올리브유와 같은 불포화지방산으로 섭취하는 것이다. 식단을 완벽히 바꾸기 어렵다면 하루 한 끼라도 바꾸기, 또는 주 3회 저녁 샐러드와 같이 작은 습관부터 시작해도 누적 효과가 생긴다고 조언한다.

관련 연구 바로 보러 가기
Dietary patterns and accelerated multimorbidity in older adults, Abbad-Gomez et al., 2025, Nat Aging
- 정회빈 리포터
- acochi@hanmail.net
- 저작권자 2025-10-22 ⓒ ScienceTimes
관련기사